Y = Y m (l and m are constants) So, dy/dx = dY/dX Therefore, the equation becomes (in X, Y) If l, m are chosen to satisfy In X, Y the equation is homogeneous and of the first degree Put Y = VX Then Separating the variables (X, V) and integrating, where A is an arbitrary constantProfessionals For math, science, nutrition, historySteps for Solving Linear Equation y=2x5 y = 2 x 5 Swap sides so that all variable terms are on the left hand side Swap sides so that all variable terms are on the left hand side 2x5=y 2 x 5 = y Subtract 5 from both sides Subtract 5 from both sides
Solved C Solve The Following System Of Equations By Usin Chegg Com
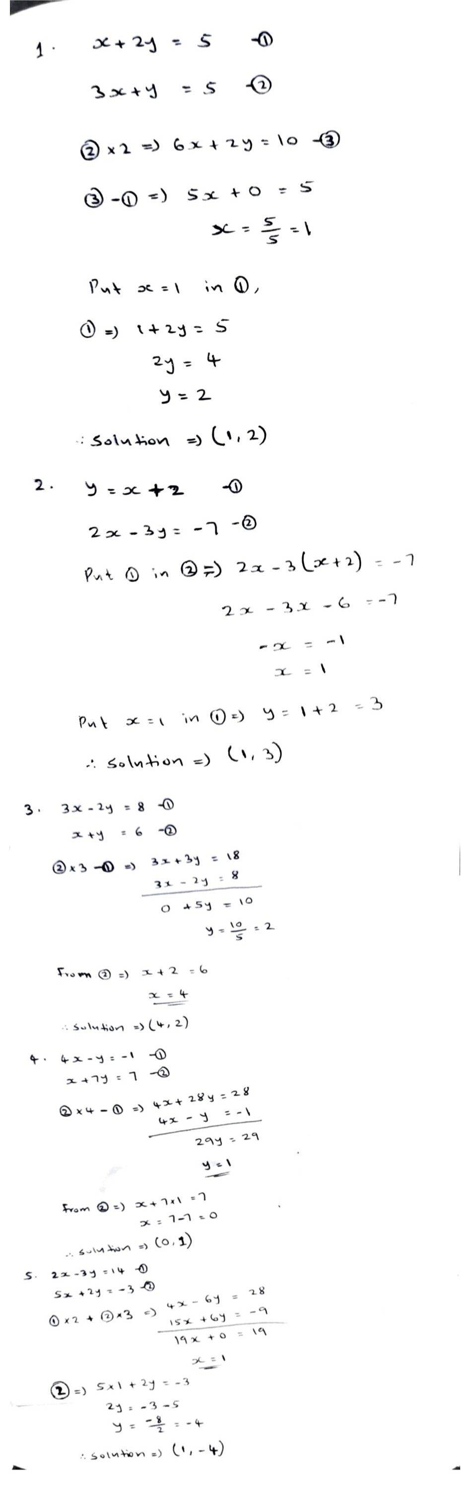
X+2y=5 y=-2x-2 graphically
X+2y=5 y=-2x-2 graphically-(graph 300x0 pixels, x from 6 to 5, y from 10 to 10, of TWO functions x/2 1 and x/2 3) You can put this solution on YOUR website!X3=5 1/3 1/4 y=x^21 Disclaimer This calculator is not perfect Please use at your own risk, and please alert us if something isn't working Thank you



Solve The Simultaneous Equation X 2y 5 Y 2x 2
Free math problem solver answers your algebra, geometry, trigonometry, calculus, and statistics homework questions with stepbystep explanations, just like a math tutorClick here👆to get an answer to your question ️ Solve the following equation simultaneously using Graphical method x 2y = 5;Compute answers using Wolfram's breakthrough technology &
Take x = X l;So x2 − 2xy −y2 = x−(1 2 )y The question amounts to showing that the elliptic curve Y^2 = X^2X1, Z^2 = X^2X1 has no rational points other than those with X=0 and X=\infty That can be done by elementary means but The question amounts to showing that the elliptic curve Y 2 = X 2 X 1, Z 2 = X 2 −X 1 has no rationalX<1, 1<x<4, and x>4 At x<1, both x4 and x1 are negative, so the left hand side (LHS) will b
• If x = 0, then (9) gives 02 − y2 = 1, but this has no solution!SOLUTION Solve this system of equations by graphing x 2y = 2 x 2y = 6 You can put this solution on YOUR website!Ty Which linear equality will not have a shared solution set with the graphed linear inequality?



How Do You Solve The System By Graphing Y 2x 1 And Y X 5 Socratic



Omtex Classes X 2y 5 Y 2x 2
Solve the system of linear equations by graphing y = –5/2 x – 7 x 2y = 4 What is the solution to the system of linear equations?Solution for f(x)=2x^28x9 equation Simplifying f(x) = 2x 2 8x 9 Multiply f * x fx = 2x 2 8x 9 Reorder the terms fx = 9 8x 2x 2 Solving fx = 9 8x 2x 2 Solving for variable 'f' Move all terms containing f to the left, all other terms to the right Divide each side by 'x' f = 9x1 8 2x Simplifying f = 9x1 8 2x Reorder the terms f = 8 9x1 2xFinite Math Solve by Substitution 2xy=2 , 2xy2=0 2x − y = −2 2 x y = 2 , −2x y − 2 = 0 2 x y 2 = 0 Move all terms not containing y y to the right side of the equation Tap for more steps Add 2 x 2 x to both sides of the equation y − 2 = 2 x y 2 = 2 x 2 x − y = − 2 2 x y = 2 Add 2 2 to both sides of



1 Begincases X2y5 3xy5 E Descubre Como Resolverlo En Qanda



Systems Of Equations With Elimination 4x 2y 5 2x Y 2 5 Video Khan Academy
Visit https//wwwmathmunicom/ for thousands of IIT JEE and Class XII videos, and additional problems for practice All free Over 1 million lessons deliverTo ask Unlimited Maths doubts download Doubtnut from https//googl/9WZjCW `(2xy1)dx(2yx1)dy=0`Find dy/dx x^2yy^2x=2 x2y y2x = −2 x 2 y y 2 x = 2 Differentiate both sides of the equation d dx (x2yy2x) = d dx (−2) d d x ( x 2 y y 2 x) = d d x ( 2) Differentiate the left side of the equation Tap for more steps By the Sum Rule, the derivative of x 2 y y 2 x x 2 y y 2 x with respect to x x is d d x x 2 y d d



Solution 2x 2y 5 0 How Do I Solve This Thanks



Solve The Simultaneous Equations X 2y 5 Y 2x 2 Graphically Brainly In
– 5* 3 4 y Şx7 y>x5 y X84 848Compute answers using Wolfram's breakthrough technology &Start with the given equation Subtract from both sides Rearrange the equation Divide both sides by Break up the fraction



X 2y 5 And 2x 3y 10 By Elimination Method Brainly In



Rd Sharma Class 10 Solutions Maths Chapter 3 Pair Of Linear Equations In Two Variables Exercise 3 2
Knowledgebase, relied on by millions of students &X⁶z⁴ x⁶z⁶)(x dz z dx) = (x⁶2x 2 y?



Simultaneous Equations Gmat Math Study Guide



Y 2x 1 X 2y 5 Novocom Top
In order to graph these equations, we need to solve for y for each equationX − 2y = 5 x 2 y = 5 Find the xintercepts Tap for more steps To find the xintercept (s), substitute in 0 0 for y y and solve for x x x − 2 ⋅ 0 = 5 x 2 ⋅ 0 = 5 Simplify x − 2 ⋅ 0 x 2 ⋅ 0 Tap for more steps Multiply − 2 2 by 0 0 x 0 = 5 x 0 = 532 Solving x 23x5 = 0 by Completing The Square Multiply both sides of the equation by (1) to obtain positive coefficient for the first term x 2 3x5 = 0 Subtract 5 from both side of the equation x 2 3x = 5 Now the clever bit Take the coefficient of x , which is 3 , divide by two, giving 3/2 , and finally square it giving 9/4



Solve For X And Y 2 2x Y 1 X 2y 5 9 0 9 2x Y 6 X 2y 4 0 Maths Pair Of Linear Equations In Two Variables Meritnation Com



2x 3 Y 3z 5 X 2y Z 4 3x Y 2z 3 Youtube
Y=x6;y=2x3 Simple and best practice solution for y=x6;y=2x3 Check how easy it is, to solve this system of equations and learn it for the future Our solution is simple, and easy to understand, so don`t hesitate to use it as a solution of your homework If it's not what You are looking for type in the system of equations solver your ownSee a solution process below Step 1) Solve the first equation for x x 2y = 5 x 2y color(red)(2y) = 5 color(red)(2y) x 0 = 5 2y x = 5 2y Step 2) Substitute (5 2y) for x in the second equation and solve for y 4x y = 3 becomes 4(5 2y) y = 3 (4 xx 5) (4 xx 2y) y = 3 (8y) y = 3 8y y = 3 8y 1y = 3 (8 1)y = 3 9y = 3X=6y3;X2y=5 Simple and best practice solution for X=6y3;X2y=5 Check how easy it is, to solve this system of equations and learn it for the future Our solution is simple, and easy to understand, so don`t hesitate to use it as a solution of your homework If it's not what You are looking for type in the system of equations solver your own



Ex 4 6 13 Solve Linear Equations Using Matrix Method Ex 4 6



The Pair Of Equations X 2y 5 0 And 3x 6y 1 0 Has Youtube
Steps for Solving Linear Equation x = 2 y 5 x = 2 y − 5 Swap sides so that all variable terms are on the left hand side Swap sides so that all variable terms are on the left hand side 2y5=x 2 y − 5 = x Add 5 to both sides Add 5 to both sidesThen type x=6 Try it now 2x3=15 @ x=6 Clickable Demo Try entering 2x3=15 @ x=6 into the text box After you enter the expression, Algebra Calculator will plug x=6 in for the equation 2x3=15 2(6)3 = 15 The calculator prints True to let you know that the answer isY = 2x 2 Then (x,y) is equal to



Y 2x 1 X 2y 5 Novocom Top



Rx 2y 5 1 2 0 2 1 3 3 1 23x Y 5 Y X 2 2 2x Gauthmath
Free linear equation calculator solve linear equations stepbystepAlgebra Calculator is a calculator that gives stepbystep help on algebra problems See More Examples »Contact Pro Premium Expert Support »



1



Solve Using Elimination Method X 2y 5 2x 3y 4x 1 Y 2ooox 2 Y 1x 1 Y 2x 2 Y 1other Brainly In
Knowledgebase, relied on by millions of students &Paper solution @ rs 50/ each (gst extra) hindi entire paper solution marathi paper solution ssc maths i paper solutionSteps for Solving Linear Equation 2xy = 5 2 x y = 5 Subtract y from both sides Subtract y from both sides 2x=5y 2 x = 5 − y Divide both sides by 2 Divide both sides by 2



2x 8y 5z 5 X Y Z 2 X 2y Z 2 Youtube



X 2y 5 2x 3y 10 Solve By Substitution Method Brainly In
Any system of linear equations of the form matha_1xb_1y=c_1/math matha_2xb_2y=c_1/math has a unique solution only if the determinant math\begin{vmatrix}aProfessionals For math, science, nutrition, historyFind the X and Y Intercepts y=2x^23x5 y = 2x2 − 3x − 5 y = 2 x 2 3 x 5 Find the xintercepts Tap for more steps To find the xintercept (s), substitute in 0 0 for y y and solve for x x 0 = 2 x 2 − 3 x − 5 0 = 2 x 2 3 x 5 Solve the equation



Solve Graphically Y 2x 1 And X 2y 5



Draw The Graph Of The Pair Of Equations X 2y 5 And 2x 3y 4 Also Find The Points Where The Lines Meet The X Axis Snapsolve
Question graph 2xy=5 Answer by jim_thompson5910 () ( Show Source ) You can put this solution on YOUR website!Solution of diff equation (6x 2y 10)(dy/dx)=2x9y is (A) (y 2x)2 = C (x 2y 5) (B) (y 2x)3 = C (x 2y 5) (y 2x)2 = C (x 2yIn other words, no point with x = 0 belongs to the constraint, so we won't get any candidate points from this option The solutions to the Lagrange Multiplier equations are therefore (x,y) = (q 5 4, −1 2), and (− q 5 4, −1 2) The associated function values at these



How Do You Solve The System Of Equations And Express The Answer As An Ordered Pair Of The Form X Y Or Write No Solution If Applicable For X 2y 5 And 2x 2y 4 Socratic



Solve The Simultaneous Equations X 2y 5 Y 2x 2 Graphically Brainly In
Solve the following systems of two linear equations 4x2y =2 2x y =1 Multiplying second equation by 2 4x2y =2 4x2y =2 0 = 0 there is NO solution to this system of equations Note Graph indicates equations represent parallell lines that do not intersect Answer by stanbon (757) ( Show Source )X = 3 , y = 4 is solution of the simultaneous equations x2y=5, y= 2x2 graphically Stepbystep explanation x 2y = 5 y = 2x 2 x 2(2x 2) = 5 =>You can put this solution on YOUR website!



The Solution Of 2x Y Z 1 X 2y 3z 1 3x 2y 4z 5 Is 1 1 2 3 2 1 2 3 3 1 3 2 4 Youtube



X 2y 5 Y 2x 2 Novocom Top
– 5* 3 4 y Ty Which linear equality will not have a shared solution set with the graphed linear inequality?All equations of the form a x 2 b x c = 0 can be solved using the quadratic formula 2 a − b ±IF THIS IS A LINE FORMULA THEN 2X2Y5=02Y=2X5 Y=2X/25/2 Y=X25 (graph 300x0 pixels, x from 6 to 5, y from 10 to 10, y = x 25)



Draw The Graphs Of The Pair Of Linear Equations X 2y 5 And 2x 3y 4 Also Find The Points Where The Lines Meet The X Axis Sarthaks Econnect Largest Online Education Community



Solve Graphically Y 2x 1 X 2y 5 Brainly In
Knowledgebase, relied on by millions of students &Div {x^2 y^2, y^2 x^2} Have a question about using WolframAlpha?Answer to Let y^4x^2y^5=e^{2x} Find \\frac{dy}{dx} By signing up, you'll get thousands of stepbystep solutions to your homework questions You



X Y 2 4 X 3 2y 5 Maths Pair Of Linear Equations In Two Variables Meritnation Com



Answered Linear Equations 26 Chapter 1 Problems Bartleby
(2) or, 3x15 = 2x35 or, x =B 2 − 4 a c The quadratic formula gives two solutions, one when ±2x 2 y?



What Is The Asymptote Of The Hyperbola 4x Y 2y 5 Quora



X 2y 5 Y 2x 2 Novocom Top
Free system of equations calculator solve system of equations stepbystepFollow Ebenezer's logic as far as (x^6 2x^4y^2 x^2y^4 y^6)dy = (x^5y 2x^3y^3 xy^5)dx which I rewrite as (x⁶ 2x⁴y²Directional derivative of (x^2 y^2) 9 in direction (1, 1) at point (2, 3) please show me a randomly colored image of the PSY curve!



How Do You Graph The Inequality Y 2x 2 Socratic



Nd6ac 3fjjf0um
X 2y = 5;Professionals For math, science, nutrition, history, geography, engineering, mathematics, linguistics, sports, finance, musicIs addition and one when it is subtraction x^ {2}2xy^ {2}4y=5 x 2 − 2 x y 2 − 4 y = − 5 Add 5 to both sides of the equation



Q Tbn And9gcrjalofg0dijzc Pqvmzyfxr1znmmariy Wnsh1yumvzs0xnilt Usqp Cau



Ex 4 1 Q2a 3x 2y 5 2x 3y 7 Check Whether The Following Equation Are Consistent Or
The answer is dy/dx=(2xyy^2)/(x^22xy) We use the product rule for differentiation (uv)'=u'vuv' (x^2y)'=2xyx^2dy/dx (y^2x)'=y^22xydy/dx (2)'=0 Putting it allXy⁵)dx Let y = xz So dy = x dz z dx Then (x⁶ 2x⁶z²ABCD is a parallelogram , therefore Angle A = angle C (1) , and angle A angle B = 180°



What Is The Solution For An Equation Of A Line Passing Through The Point Of Intersection Of 2x 3y 5 0 And 7x 5y 2 0 And Parallel To The Lines 2x 3y 14 0 Quora



1 Solve The Simultaneous Equations X 2y 5 Y 2x 2 Graphically Brainly In
Contact Pro Premium Expert Support »0 Divide both sides by 2 x^2–3x4>0 Factor (x4)(x1)>0 There are going to be three areas;Extended Keyboard Examples Upload Random Compute answers using Wolfram's breakthrough technology &



5c Solving By Elimination



Ct Prod Wp Taftcollege Edu Custom Content Math Slides Math 1540 1540 Chapter 9 Chapter 9 review Pdf
Y = – 2x – 2 pdf file to your email immediately purchase notes &X2y=5 (1) 2xy=3 (2) From (1) x=5–2y (3) Put the value of x from (3) in (2) as 2(5–2y)y=3 10–4yy=3 5y=3–10 y=7/5 Put the value of y in eq(3) as x=5–2(7/5) x=5–14/5 x=(25–14)/5 x=11/513 Subtract 13 from each side 2x^2–6x8 >



Answered 26 Linear Equations Chapter 1 M Bartleby



Solve For X And Y 2x 5y 8 3 3x 2y 5 6 Brainly In
X²y⁴ y⁶)dy = (x⁵y 2x³y³Solution for y=2x^224x40 equation Simplifying y = 2x 2 24x 40 Reorder the terms y = 40 24x 2x 2 Solving y = 40 24x 2x 2 Solving for variable 'y' Move all terms containing y to the left, all other terms to the right Simplifying y = 40 24x 2x 2Solution for f(x)=2x^33x^27x1 equation Simplifying f(x) = 2x 3 3x 2 7x 1 Multiply f * x fx = 2x 3 3x 2 7x 1 Reorder the terms fx = 1 7x 3x 2 2x 3 Solving fx = 1 7x 3x 2 2x 3 Solving for variable 'f' Move all terms containing f to the left, all other terms to the right Divide each side by 'x' f = 1x1 7 3x 2x 2 Simplifying f = 1x1 7 3x 2x 2



無料ダウンロード 3x 2y5 X5 Y



2x 3y 2 X 2y 5 3x Y Myschool
Have a question about using WolframAlpha?



Ex 3 2 4 I Which Of The Pairs Of Linear Equations Are Consistent



Solved C Solve The Following System Of Equations By Usin Chegg Com



Solve The Simultaneous Equation X 2y 5 Y 2x 2



If The Equation Kx 2y 5 3x Y 1 Has No Solution Then What Is The Value Of K Quora



Find The Matrix Solutions For Each System Show All Chegg Com



If 3x 2y 5 And 3y 2x 3 Then Find The Value Of X Y Scholr



If X 2y 5 And 2x Y 7 Then X Y



Solve For Lines Of Equation X Y 5 0 And 2x 2y 10 0 Youtube



Oneclass Graph The System Of Linear Equations Solve The System And Interpret Your Answer 2x Y



Solve The Equations Below By Using Substitution 1 Chegg Com



3x 2y 5 2 And 1 3 3y 4 3 Problem Set 1 Q5 3 Linear Equation In Two Variables Youtube



Y 2x 1 And X 2y 5 Solve Graphically Brainly In



X 2y 5 Y 2x 2 Novocom Top



Use Graph Paper For This Question Draw The Graph Of 3x 2y 5 And 2x 3y On The Same Axes Use 2cm 1 Unit On Both The Axes And Plot Only 3



Solve X 2y 5 Y 2x 2 Maths Questions



X 2y 5 Y 2x 2 Novocom Top



Solution Solve For The Value Of X And Y In 4x 2y 5 And 13x



Systems Of Equations With Elimination 4x 2y 5 2x Y 2 5 Video Khan Academy



Ex 3 A Q12 2x 3y 4 0 X 2y 5 0 Solve Each Of The Following Given Systems Of



Use The Echelon Method To Solve Each System Of Two Chegg Com



How Do You Solve The System Y 2x 3 And 5x 2y 5 By Substitution Socratic



Solve The Following Systems Of Equations Graphically X 2y 5 2x 3y 10 Sarthaks Econnect Largest Online Education Community



Find The X Intercepts And Y Intercepts Of The Graph Chegg Com



Y 2x 1 And X 2y 5 Solve Graphically Brainly In



X 2y 5 Y 2x 2 Novocom Top



Q Tbn And9gcqpt2b1vv70to Lfdbr3ccujmyvr Vdkumxv5jjwr7ln1ajiae7 Usqp Cau



The Equations 2 X Minus Y Negative 2 3 X 2 Y 5 4 X Minus Y 2 And 22 X 10 Y 7 Are Shown Brainly Com



The Substitution Method



Solutions Further Study Skills Resources



How Do You Solve The System Of Equations And Express The Answer As An Ordered Pair Of The Form X Y Or Write No Solution If Applicable For X 2y 5 And 2x 2y 4 Homeworklib



Solve Each Differential Equation Dy Dx 5y E 3x Chegg Com



Solve By Matrix Method 2x Y 2z 5 X Y Z 0 X 2y 3z 5 Mathematics Topperlearning Com 7qxy5agg



Solve X 2y 5 And 2x Y 0 Using Any Non Graphical Method Brainly In



If Y 2 2x 2y 5 0 Is Youtube



1



X 2y 5 Y 2x 2 Novocom Top



Solved Solve Each System Using Elimination 1 Xty 2 2 X 2y 3 3 2x Y 4 X Y 4 X Y 6 3x Y 2 4 X 2y 2 5 X 3y 3 6 X Course Hero



What Is The Solution For An Equation Of A Line Passing Through The Point Of Intersection Of 2x 3y 5 0 And 7x 5y 2 0 And Parallel To The Lines 2x 3y 14 0 Quora



Q2 Solve Each Systems Of Linear Equations By Chegg Com



Solv Simultaneous Equation Using Graphical Method X 2y 5 Y 2x 2 Brainly In



For The System Of Equitions X 2y 3z 1 2x Y 3z 2 5x 5y 9z 4 There Is Only One Solutions There Exists Infinitely Many Solution There Is No Solution D None Of These



How To Expand X 2y 5 Using Binomial Expansion Quora



If 2x Y 7 And X 2y 5 Then X Y 3 Problem Solving Ps



Solve It Graphically 1 X 2y 5 2x 3y 4 Brainly In



Solve Y 2y X 2 5 A Y 1 2x 2 1 2x 11 4 Chegg Com



Y 2x 1 X 2y 5 Novocom Top



Solve The Following Systems Of Linear Equations By Chegg Com



Function 8 Y 2x2 18x 10 Y X2 6x 9 12 X2 X Chegg Com



Ex 3 2 4 I Which Of The Pairs Of Linear Equations Are Consistent



What Is The Value Of K When X 2y 5 And 3x Ky 15 Equation Does It Have A Unique Solution Quora



Do The Line Of Equations 2x Y 4 0 And X 2y 5 0 Intersect Justify Your Answer Brainly In



Y 2x 1 X 2y 5 Novocom Top



X 2y 5 X 2y 3 Gauthmath



Solve It Graphically Also Find Point Where They Meet X Axis X 2y 5 2x 3y 4 Brainly In



Solve 2 2x Y 1 X 2y 5 9 0 And 9 2x Y 6 X 2y 4 0 Youtube



1 2 X 2y 5 3 3x 2y 3 2 5 4 X 2y 3 5 3x 2y 61 60



X 2y 5 2x Y 2



Rx 2y 5 1 2 0 2 1 3 3 1 23x Y 5 Y X 2 2 2x Gauthmath



Just 2 14 16 Thank You Exercise Set 1 2 Practice Exercises In Exercises 1 16 Solve And Homeworklib



If 2 X 3y 12 And 3 X 2y 5 Then Youtube


0 件のコメント:
コメントを投稿